Buy 4-AcO-MET Cas 1445751-40-5
Buy 4-AcO-MET Cas 1445751-40-5
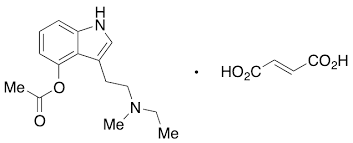
4-AcO-MET, also known as 4-acetoxy-N-methyl-N-ethyltryptamine or metacetin, is a psychedelic drug of the tryptamine family.[1] It is the acetate ester of 4-HO-MET, and a homologue of 4-AcO-DMT.[1] The drug is a novel compound with very little history of human use.[3] It has been encountered as a novel designer drug.[3][1]
Use and effects
4-AcO-MET is thought to be a prodrug of 4-HO-MET.[1] The dose of 4-AcO-MET is said to be 5 to 40 mg orally and its duration is said to be 4 to 10 hours.[1] It is said to produce psilocin (4-HO-DMT)-like psychedelic effects.[1]
Interactions
Pharmacology
Pharmacodynamics
Due to its similarity to the psilocin prodrug 4-AcO-DMT, which is deacetylated to form psilocin in vivo,[4][5] it is expected that 4-AcO-MET is also quickly hydrolyzed into 4-HO-MET by serum esterases, but human studies concerning the metabolic fate of this drug are lacking.
The pharmacology of 4-AcO-MET has been studied.[6][7]
Chemistry
Analogues
Analogues of 4-AcO-MET include methylethyltryptamine (MET), 4-HO-MET (metocin), 5-MeO-MET, 4-AcO-DMT (psilacetin), 4-AcO-DET (ethacetin), 4-AcO-MPT, and 4-PrO-MET, among others.
History
4-AcO-MET was encountered as a novel designer drug in Europe in 2009.[3]
Society and culture
Legal status
Canada
4-AcO-MET is not a controlled substance in Canada as of 2025.[8]
Switzerland
In Switzerland, 4-AcO-MET is a controlled substance under Verzeichnis E.[9]
United Kingdom
In the United Kingdom, 4-AcO-MET is a Class A drug in the United Kingdom because it is an ester of the drug 4-HO-MET, which is a Class A drug under the tryptamine catch-all clause.[10]
United States
In the United States, 4-AcO-MET is not scheduled. It may be considered an analogue of psilocin, a Schedule I drug under the Controlled Substances Act.[11] As such, the sale for human consumption or the use for illicit non-medical purposes could be considered a crime under the Federal Analogue Act.[12]



Reviews
There are no reviews yet.